Skip to content

June 2019 Updates

Published On:
Jun 30, 2019
Last Updated:
Jun 30, 2019

The page on Electrical Noise moved from Electronics->Test And Measurement to Electronics->Circuit Design.

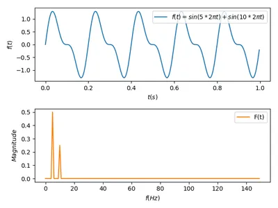
Renamed the Fast Fourier Transform page to the Fourier Transform page, as it now contains information about other Fourier transforms.

Added graphs of 1D Fourier transformations:

and animated .gifs of 2D Fourier transformations:

Updated the pytest page with info on mark (markers) and pytest naming conventions.

Removed the updates directory that all monthly update posts were under.

Added a tutorial on pandas, a popular data analytics library for Python.

The pandas logo.

Updated the Python Debugging page with more info on pdb.

Updated the Filters page with more information on low-pass RC filters, including plots of the frequency response:

I created a public mbedded.ninja project on CircuitMaker at https://workspace.circuitmaker.com/Projects/Details/GeoffreyHunter/mbedded-ninja. I am going to trial out CircuitMaker as a tool for drawing schematic diagrams for this blog. In the past I have used Altium (not free), MultisimLive and InkScape (free but is a general vector graphics editor, not a dedicated electronics CAD program).

Added the Command-Line CSV Viewer page, which contains information on how to cleanly view CSV files from the Linux command-line.

Added a new page about the programming language Julia.

The Julia logo.